2022. 8. 17. 21:33ㆍ자격증/일반기계기사
베지어 곡선 (Bezier Curve)
ㄱ. 소개 :: 베지어 곡선은 컴퓨터 분야에서 중요한 매개 곡선(parametic curve)으로, '드 카셀죠'의 알고리즘에 의해 만들어졌다. 베지어 곡선은 간단히 말해서, 양 끝점의 위치벡터와 내부 조정점을 이용하여 그리는 것을 의미한다. 컴퓨터 응용가공에서 주로 사용하는 베지어 곡선은 2차, 3차 베지어 곡선이다. 1차 베지어 곡선은 직선이며, 4차 이상의 베지어 곡선은 풀이 비용이 많이 들기 때문이다.


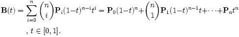
ㄴ. 일반화 :: n 단계의 베지어 곡선은 다음과 같이 일반화할 수 있다. (P0~Pn 까지의 점들은 사용자가 정의한 조정점들의 순서)

일반화된 베지어 곡선의 식을 보면 아래와 같은 꼴의 식이 포함되어 있음을 알 수 있다.

이를 다항식으로 정리하면 밑과 같은 형태로 정리가 된다.

이는 '00 = 1'로 정의된 n 단계의 '번스타인 기본 다항식(Bernstein Basis polynomials)'이다.
위 식에서 P0~Pn 은 사용자가 정의한 베지어 곡선의 조정점(Control Vertex)이며, 이 조정점들을 연결하면 베지어 다각형이 된다.
베지어 다각형(Bezier Polygon)은 항상 내부에 베지어 곡선(Bezier Curve)을 포함한 형태를 띤다.
ㄷ. 베지어 곡선의 성질
가. 곡선은 양단의 조정점을 통과한다.
나. 곡선은 조정점들을 연결한 다각형 내측에 존재한다.
다. 한 개의 조정점 변화는 곡선 전체에 영향을 미친다.
라. n 개의 조정점에 의하여 정의되는 베지어 곡선은 (n-1)차 베지어 곡선이다.

'자격증 > 일반기계기사' 카테고리의 다른 글
| [일반기계기사] 형상 모델링 - 3차원 모델링 (wire, surface, solid) (0) | 2022.08.18 |
|---|---|
| [일반기계기사] 형상 모델링 - 솔리드 모델링 표현방식 (B-Rep & CSG) (0) | 2022.08.18 |
| [일반기계기사] 드릴 가공 종류 (0) | 2022.08.17 |
| [일반기계기사] 드릴 각부의 명칭과 날끝각 (0) | 2022.08.17 |
| [일반기계기사] 셰이퍼(shaper)에 대해서 알아보자 (0) | 2022.08.17 |